炒股配资最新-杠杆投资平台是什么意思啊-【东方资本】,okex百倍杠杆,股票杠杆怎么办,什么配资平台才是正规的
Home
About Us
Products
Pesticide TC products
Intermediate products
News
Contact Us
中文
/
english
Welcome to
Hunan Spark Science
Hotline:+86-730-2583555
Admin
Order
Home
Home
About Us
Products
News
Company
Contact Us
中文
Pesticide TC products
Pesticide TC products
Intermediate products
Sulfentrazone
CAS No:122836-35-5
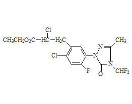
Carfentrazone-ethyl
CAS No:128639-02-1
clothianidin
CAS No:210880-92-5
Carfentrazone-ethyl
CAS No:128639-02-1
Sulfentrazone
CAS No:122836-35-5
Total 5 Records
Page
Copyright (C) 2021,
Hunan Spark Science Co., Ltd.
All Rights Reserved.Supported by
ChemNet
ChinaChemNet
Toocle
31fabu
Copyright Notice
Home
About
Product
Contact