炒股配资最新-杠杆投资平台是什么意思啊-【东方资本】,okex百倍杠杆,股票杠杆怎么办,什么配资平台才是正规的
Home
About Us
Products
Pesticide TC products
Intermediate products
News
Contact Us
中文
/
english
Welcome to
Hunan Spark Science
Hotline:+86-730-2583555
Admin
Order
Home
Home
About Us
Products
News
Company
Contact Us
中文
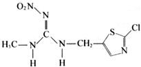
Current location:Products >clothianidin
Pesticide TC products
Intermediate products
clothianidin
Structural:
Purity:95.0% TC
Package:25KG/Fibre Drum
【
Back
】
Copyright (C) 2021,
Hunan Spark Science Co., Ltd.
All Rights Reserved.Supported by
ChemNet
ChinaChemNet
Toocle
31fabu
Copyright Notice
Home
About
Product
Contact